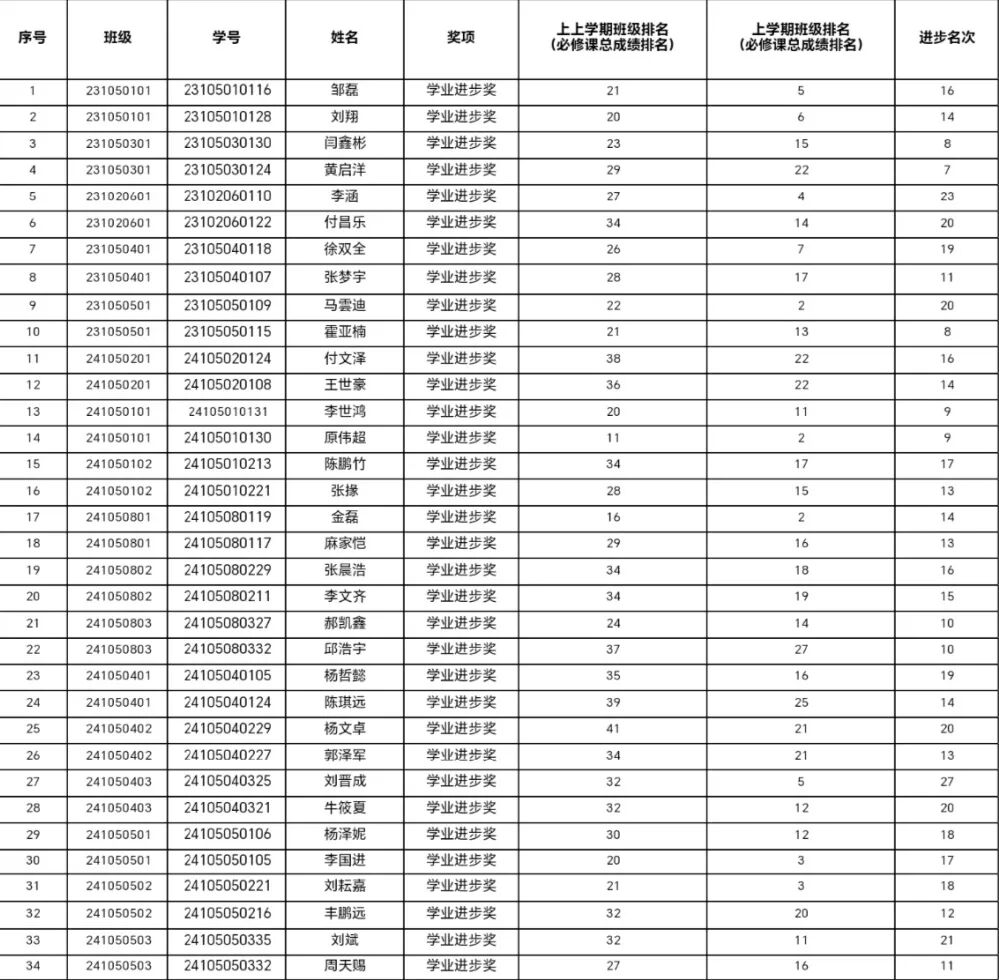
为进一步加强学风建设,发挥榜样示范引领作用,激励广大学生勤学善思、奋勇争先,智能制造工程学院完成2025-2026学年第1学期学业进步奖评选工作,共34名同学凭借显著的学业提升获评“学业进步奖”。


本次评选以学生连续两学期必修课总成绩排名为依据,重点表彰在学业中勇于突破、进步显著的同学。评选过程坚持公开、公平、公正原则,经班级申报、学院审核,最终确定获奖名单。获奖同学中,多名同学实现班级排名两位数提升,最高进步名次达27名,展现了我院学子脚踏实地、锐意进取的精神风貌。

学院始终将学风建设作为人才培养的重要抓手,通过学业预警、朋辈帮扶、专业答疑等多种形式,为学生搭建成长平台。此次学业进步奖的评选,不仅是对获奖同学的肯定与鼓励,更是对全体学子的激励与号召。希望获奖同学珍惜荣誉、再接再厉,以更加饱满的热情投入后续学习;全体同学以先进为榜样,树立“比学赶超”的学习意识,在智能制造领域深耕细作,以优异的成绩书写青春答卷。


下一步,学院将持续深化学风建设工作,完善学业帮扶机制,营造勤学、善学、乐学的良好氛围,助力每一位学子在成长道路上不断突破、稳步前行。

【END】

初审:薛慧敏

复审:万长园

终审:贾新泽