

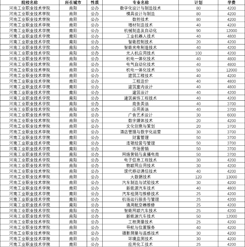
河南工业职业技术大学
2025年单独考试招生
学校成立于1973年,先后隶属于原国家第五机械工业部、机械工业委员会、机械电子工业部、中国兵器工业总公司、河南省人民政府,现由河南省委教育工委、河南省教育厅统一管理,是河南省国防科技工业系统唯一一所高等职业院校,是教育部首批现代学徒制试点院校、全国首批教学质量诊断与改进工作试点院校,是国家骨干高等职业院校、国家优质专科高等职业院校、“中国特色高水平高职学校和专业建设计划”建设单位。
办学层次:高职(专科)
办学类型:全日制公办高等职业学校
办学地点:河南省南阳市杜诗路1666号(孔明校区);河南省南阳市工农路291号(光武校区);河南省南阳市方城县秋实路66号(方城校区)
颁发学历证书的学校名称:河南工业职业技术学院
证书种类:全日制普通高等学校专科毕业证书
特色专业:新能源汽车技术、模具设计与制造、机电一体化技术、电气自动化技术、工业机器人技术
住宿情况:具备空调、上床下桌:住宿费标准:孔明校区(6人间)800元/年 ·生, 光武校区(8人间)400元/年 ·生,方城校区(6人间)800元/年 ·生。

2025 年单招考核方式:
“语文、数学、英语”满分分值 200 分
应届高中生语文、数学A、B、C、D、E对应折算为70分、63分、56分、49分、30分,外语A、B、C、D、E对应折算为60分、54分、48分、42分、30分;往届生语文、数学A、B、C、D对应折算为70分、63分、56分、30分,外语A、B、C、D对应折算为60分、54分、48分、30分。
职测笔试:基本素质与通识能力、职业潜质、职业认知、职业发展、分析推理能力、信息技术应用等综合素质及能力。笔试时间为4月21日13:00—15:00,满分300。
社会生单独命题并组织考试。考试时间为4月21日15:30—17:00,考试科目为语文(分值70)、数学(分值70)、英语(分值60),满分200分。职测同高中生
中职生语文(分值70)、数学(分值70)、英语(分值60),满分200分。
①对于取得职业资格等级证书或各类技能竞赛获奖证书(符合技能拔尖人才免试入学条件的除外),并于4月5日前通过中国邮政EMS将本人获奖或资格等级证书
复印件、身份证复印件(正反面)等相关证明材料提交至我校招生就业处的考生,不再参加职业技能测试,由我校职业技能鉴定中心组织的考评委员会,根据考生提交的职业资格证书及各类技能竞赛获奖证书等级进行评定。职业技能测试成绩换算标准为:职业资格等级证书,初级工260分、中级工280分、高级工300分;各类技能竞赛获奖证书,市级260分、省部级290分、国家级300分。考生具有多个 计分项目时,则取该考生最高项目的换算得分。
②对于没有或未按要求提交职业资格等级证书或各类技能竞赛获奖证书的考生,职业技能测试由我校组织现场实操测试,主要考察考生的专业知识和技能、职业素质、分析和解决问题能力、创新思辨能力、技能实际操作能力等。测试时间段 为4月21日9:00—15:00,各专业分批次安排,满分300分。
录取方式:分数优先,择优录取。
录取成绩=文化素质考试成绩+职业适应性测试成绩;
招生电话:0377-63210238
学校地址:河南省南阳市杜诗路1666号(孔明校区]河南省南阳市工农路291号(光武校区)河南省南阳市方城县秋实路66号(方城校区)
招生官网:https://www.hnpi.edu.cn/zsxx/
QQ群:1001874516
更多具体内容:2025年单独考试招生章程 || 河南工业职业技术学院

25年南工录取分数线




就业前景
2025年10月23日,河南工业职业技术学院校园内人头攒动,气氛热烈。学校联合河南省国防科技工业企业管理协会、南阳市工业和信息化局、宛城区人力资源和社会保障局、共青团南阳市委主办,南阳市企业服务中心、宛城区就业创业服务中心共同承办的2026届毕业生军工与重点产业链人才供需对接双选会在体育馆隆重举行。校领导马小兵、朱成俊、冯书丽、王宏颖、相关单位领导莅临双选会现场指导。
本次双选会汇聚205家军工企业与产业链重点企业,共提供10000余个就业岗位,覆盖机械机电、电子信息、建筑工程、电子商务、文化旅游、汽车工程、测绘地理信息、环境保护等十大行业领域。活动现场井然有序,毕业生手持精心准备的简历,积极与招聘代表交流,深入了解企业文化和职业发展通道。据不完全统计,参会毕业生6000余人,近3000名毕业生与心仪企业初步达成就业意向。

多家国有企业央有企业进行校园招聘,岗位更是“乱花渐欲迷人眼”任你挑选投递,想学习更多面试技巧,个人简历撰写,拿下面试官,快来关注“余光兄”吧,手把手教你应聘!
声明:“余光兄不止讲规划”微信公众号刊载此文,是出于传递更多良好信息之目的。若有来源标注错误或侵犯了您的合法权益,请及时与我们联系,我们将及时更正、删除或依法处理)


